АВТ
Язык:

Дистанционный практикум по программированию

Задачи On-line статус ЧаВо Турниры
Для авторов:
 
Здравствуйте, Гость! Войдите с паролем или зарегистрируйтесь.

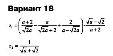
1152. Семинар 1 - Линейные программы. Вариант 18

Ограничение времени: 1 секунды
Ограничение памяти:65536КБ
Баллы:1
Статистика Послать на проверку Задачу добавил Administrator

Описание: Описание: Описание: Описание: Описание: Описание: Описание: Описание: Описание: Описание: Описание: E:\My_documents\Work\Informatika_testy\p9\index.files\image001.jpg

 Формат входных данных.

Ввод: одно вещественное число.

Вывод: два вещественных числа через пробел (с точностью до двух десятичных знаков).

Пример входных данных:

3

Пример выходных данных:

0.32 0.32

 


Статистика Послать на проверку Автор/источник:
Учебные курсы / Информатика для ИТ / Семинар 1. Линейные программы /
1151. 017 - Семинар 1 - Линейные программы. Вариант 17 1152. 1153. 019 - Семинар 1 - Линейные программы. Вариант 19 1154. 020 - Семинар 1 - Линейные программы. Вариант 20
 
время генерации 0.031 сек.
© Copyright ВоГТУ, АВТ, Носов Д.А.