|
Даны целые числа x, y ,z, не превышающие по модулю 25
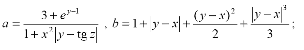
Вычислить следующие выражения:

Input
Три числа x, y, z, разделенные пробелами и/или переводами строк
Output
Два числа, округлённые до целых
Sample
| Input | Output |
Пример 1. Вход:
1 0 0
| Пример 1. Выход:
4 3
|
|