АВТ
Language:

Remote Training on Programming

Problems On-line status Contests FAQ
For authors:
Register  ||  Login
 
Hello, Guest! Login or register.

1088. Protected message

Time Limit: 0.4 seconds
Memory Limit:65536KB
Points:10
View Problem Statistics Submit Problem added Undefined

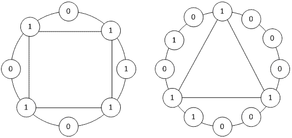
Для передачи особо важного сообщения был разработан специальный код. Исходное сообщение имеет два значения: "True" и "False". Сообщение кодируется произвольной цепочкой нулей и единиц. Данную цепочку необходимо записать по кругу, представив каждый ноль или единицу в виде узла. Если в получившийся круг можно вписать правильный многоугольник, вершины которого опираются на единицы, считается, что получено сообщение "True", если такой многоугольник вписать нельзя - "False". Правильный многоугольник - это выпуклый многоугольник, у которого количество вершин строго больше 2 и рёбра которого имеют одинаковый размер.

Напишите программу-декодер данного кода.

Input

В единственной строке входного файла записана последовательность символов 0 и 1, не менее 3 и не более 2*106.

Output

В единственной строке выходного файла выведите "False" или "True" с большой буквы без кавычек.

Sample

InputOutput
100010
False
10101010
True

View Problem Statistics Submit Author/source:
Problems from Contests / Vologda Students Contests / XV InterUni Olympiad 2012 /
1087. H - Search of beacon 1088. 1089. J - Two numbers
We can all benefit by doing occasional "toy" programs, when artificial restrictions are set up, so that we are forced to push our abilities to the limit. The art of tackling miniproblems with all our energy will sharpen our talents for the real problems. Donald E. Knuth.
time generating 0.452 sec.
© Copyright VSTU, AVT, Nosov D.A.