АВТ
Language:

Remote Training on Programming

Problems On-line status Contests FAQ
For authors:
Register  ||  Login
 
Hello, Guest! Login or register.

1135. Семинар 1 - Линейные программы. Вариант 1

Time Limit: 1 seconds
Memory Limit:65536KB
Points:1
View Problem Statistics Submit Problem added Administrator

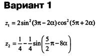
Описание: D:\информатика\p1\index.files\image001.jpg

Описание: D:\информатика\p1\index.files\image002.jpg

 Формат входных данных.

Ввод: одно вещественное число.

Вывод: два вещественных числа через пробел (с точностью до двух десятичных знаков).

Пример входных данных:

0

Пример выходных данных:

0 0

 


View Problem Statistics Submit Author/source:
Educational Courses / Информатика для ИТ / Семинар 1. Линейные программы /
1135. 1136. 002 - Семинар 1 - Линейные программы. Вариант 2 1137. 003 - Семинар 1 - Линейные программы. Вариант 3 1138. 004 - Семинар 1 - Линейные программы. Вариант 4
We can all benefit by doing occasional "toy" programs, when artificial restrictions are set up, so that we are forced to push our abilities to the limit. The art of tackling miniproblems with all our energy will sharpen our talents for the real problems. Donald E. Knuth.
time generating 0.483 sec.
© Copyright VSTU, AVT, Nosov D.A.