|
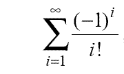
Вычислить бесконечную сумму с заданной точнотью E(E>0). Считать что требуемая точность достигнута, если несколько первых слагаемых и очередное слагаемое оказалось по модулю меньше, чем E, это и все последующие слагаемые можно уже не учитывать.

Input
Одно число точность E(E>0).
Output
Одно число - ответ
Sample
| Input | Output |
Пример 1. Вход:
0.1
| Пример 1. Выход:
0.375
|
|