АВТ
Язык:

Дистанционный практикум по программированию

Задачи On-line статус ЧаВо Турниры
Для авторов:
 
Здравствуйте, Гость! Войдите с паролем или зарегистрируйтесь.

1045. A77v

Ограничение времени: 1 секунды
Ограничение памяти:65536КБ
Баллы:2
Статистика Послать на проверку Задачу добавил Неизвестный

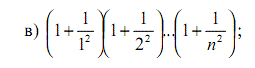
Даны натуральное число N.

Вычислить:


Исходные данные

Число N

Результат

Ответ вычисленной формулы

Пример

Исходные данныеРезультат
Пример 1. Вход:
1000
Пример 1. Выход:
3.6724055061

Статистика Послать на проверку Автор/источник:
Учебные курсы / Новые задачи в тестовой эксплуатации /
1025. A74 1045. 1047. A78B 1018. A83b 949. A86
 
время генерации 0.047 сек.
© Copyright ВоГТУ, АВТ, Носов Д.А.