АВТ
Язык:

Дистанционный практикум по программированию

Задачи On-line статус ЧаВо Турниры
Для авторов:
 
Здравствуйте, Гость! Войдите с паролем или зарегистрируйтесь.

1048. Сумма ряда.

Ограничение времени: 1 секунды
Ограничение памяти:65536КБ
Баллы:2
Статистика Послать на проверку Задачу добавил Неизвестный

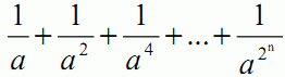
Даны действительное число a, натуральное число n. Вычислить:

Исходные данные

Действительное число a, натуральное число n.

Результат

Сумма ряда.

Пример

Исходные данные Результат
3 2
0.456943

Статистика Послать на проверку Автор/источник:
Учебные курсы / Новые задачи в тестовой эксплуатации /
632. Стоимость разговора 1048. 634. Сумма четных элементов 671. Сформировать один массив из двух других 628. Удаление слова
 
время генерации 1.81 сек.
© Copyright ВоГТУ, АВТ, Носов Д.А.