
| Язык: |
| |
|
|
Дистанционный практикум по программированию
|
1095. Вычисление суммы.
|
| Ограничение времени: |
1 секунды |
| Ограничение памяти: | 65536КБ |
| Баллы: | 2 |
|
|
|
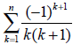
Дано натуральное число n. Вычиcлить

Результат вывести с точностью до 10-6
Исходные данные
Натуральное число n (n находится в диапазоне от 1 до 10000).
Результат
Сумма выражения.
Пример
| Исходные данные | Результат |
124
|
0.386262
|
| |
|
|