АВТ
Язык:

Дистанционный практикум по программированию

Задачи On-line статус ЧаВо Турниры
Для авторов:
 
Здравствуйте, Гость! Войдите с паролем или зарегистрируйтесь.

1016. A11b

Ограничение времени: 1 секунды
Ограничение памяти:65536КБ
Баллы:2
Статистика Послать на проверку Задачу добавил Неизвестный

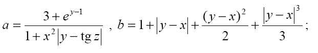
Даны целые числа x, y ,z, не превышающие по модулю 25

Вычислить следующие выражения:


Исходные данные

Три числа x, y, z, разделенные пробелами и/или переводами строк

Результат

Два числа, округлённые до целых

Пример

Исходные данныеРезультат
Пример 1. Вход:
1 0 0
Пример 1. Выход:
4 3

Статистика Послать на проверку Автор/источник:
Учебные курсы / Новые задачи в тестовой эксплуатации /
1033. A116a 1016. 1051. A21 1038. A258 1022. A260B
 
время генерации 0.483 сек.
© Copyright ВоГТУ, АВТ, Носов Д.А.