АВТ
Language:

Remote Training on Programming

Problems On-line status Contests FAQ
For authors:
Register  ||  Login
 
Hello, Guest! Login or register.

1045. A77v

Time Limit: 1 seconds
Memory Limit:65536KB
Points:2
View Problem Statistics Submit Problem added Undefined

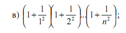
Даны натуральное число N.

Вычислить:


Input

Число N

Output

Ответ вычисленной формулы

Sample

InputOutput
Пример 1. Вход:
1000
Пример 1. Выход:
3.6724055061

View Problem Statistics Submit Author/source:
Educational Courses / New problems in testing /
1025. A74 1045. 1047. A78B 1018. A83b 949. A86
We can all benefit by doing occasional "toy" programs, when artificial restrictions are set up, so that we are forced to push our abilities to the limit. The art of tackling miniproblems with all our energy will sharpen our talents for the real problems. Donald E. Knuth.
time generating 0.078 sec.
© Copyright VSTU, AVT, Nosov D.A.