АВТ
Язык:

Дистанционный практикум по программированию

Задачи On-line статус ЧаВо Турниры
Для авторов:
 
Здравствуйте, Гость! Войдите с паролем или зарегистрируйтесь.

1180. Семинар 2 - Разветвляющиеся пр-мы. Циклы. Задача 2. Вариант 6

Ограничение времени: 1 секунды
Ограничение памяти:65536КБ
Баллы:2
Статистика Послать на проверку Задачу добавил Administrator

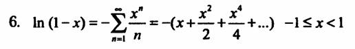
Описание: F:\informatika\kyrs 1\sem_02_02\pr_06\index.files\image001.jpg

Описание: F:\informatika\kyrs 1\sem_02_02\pr_06\index.files\image002.jpg

Формат входных данных.

Ввод: начало и конец интервала, шаг и точность

Вывод: таблица, каждая строка которой есть комбинация из четырех чисел – значение аргумента, значение функции, количество просуммированных членов ряда и расчет функции стандартными средствами с++

Пример входных данных:

0 0.9 0.1 0.0001

Пример выходных данных:

0.0 0.0000 1 0.0000

0.1 -0.1054 4 -0.1054

0.2 -0.2231 5 -0.2231

0.3 -0.3567 7 -0.3567

0.4 -0.5108 8 -0.5108

0.5 -0.6931 10 -0.6931

0.6 -0.9162 14 -0.9163

0.7 -1.2038 18 -1.2040

0.8 -1.6091 27 -1.6094

0.9 -2.3019 51 -2.3026


Статистика Послать на проверку Автор/источник:
Учебные курсы / Информатика для ИТ / Семинар 2. Разветвляющиеся пр-мы. Циклы. Задача 2 /
1179. 005 - Семинар 2 - Разветвляющиеся пр-мы. Циклы. Задача 2. Вариант 5 1180. 1181. 007 - Семинар 2 - Разветвляющиеся пр-мы. Циклы. Задача 2. Вариант 7 1182. 008 - Семинар 2 - Разветвляющиеся пр-мы. Циклы. Задача 2. Вариант 8 1183. 009 - Семинар 2 - Разветвляющиеся пр-мы. Циклы. Задача 2. Вариант 9
 
время генерации 0.093 сек.
© Copyright ВоГТУ, АВТ, Носов Д.А.