АВТ
Язык:

Дистанционный практикум по программированию

Задачи On-line статус ЧаВо Турниры
Для авторов:
 
Здравствуйте, Гость! Войдите с паролем или зарегистрируйтесь.

1181. Семинар 2 - Разветвляющиеся пр-мы. Циклы. Задача 2. Вариант 7

Ограничение времени: 1 секунды
Ограничение памяти:65536КБ
Баллы:2
Статистика Послать на проверку Задачу добавил Administrator

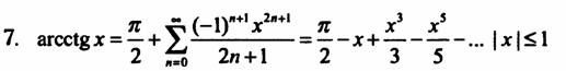
Описание: F:\informatika\kyrs 1\sem_02_02\pr_07\index.files\image001.jpg

Описание: F:\informatika\kyrs 1\sem_02_02\pr_07\index.files\image002.jpg

Формат входных данных.

Ввод: начало и конец интервала, шаг и точность

Вывод: таблица, каждая строка которой есть комбинация из четырех чисел – значение аргумента, значение функции, количество просуммированных членов ряда и расчет функции стандартными средствами с++

Пример входных данных:

0 0.9 0.1 0.0001

Пример выходных данных:

0.0 1.5708 1 1.5708

0.1 1.4711 3 1.4711

0.2 1.3734 3 1.3734

0.3 1.2793 4 1.2793

0.4 1.1903 5 1.1903

0.5 1.1072 6 1.1071

0.6 1.0304 8 1.0304

0.7 0.9601 10 0.9601

0.8 0.8961 14 0.8961

0.9 0.8380 26 0.8380


Статистика Послать на проверку Автор/источник:
Учебные курсы / Информатика для ИТ / Семинар 2. Разветвляющиеся пр-мы. Циклы. Задача 2 /
1180. 006 - Семинар 2 - Разветвляющиеся пр-мы. Циклы. Задача 2. Вариант 6 1181. 1182. 008 - Семинар 2 - Разветвляющиеся пр-мы. Циклы. Задача 2. Вариант 8 1183. 009 - Семинар 2 - Разветвляющиеся пр-мы. Циклы. Задача 2. Вариант 9 1184. 010 - Семинар 2 - Разветвляющиеся пр-мы. Циклы. Задача 2. Вариант 10
 
время генерации 0.062 сек.
© Copyright ВоГТУ, АВТ, Носов Д.А.