АВТ
Язык:

Дистанционный практикум по программированию

Задачи On-line статус ЧаВо Турниры
Для авторов:
 
Здравствуйте, Гость! Войдите с паролем или зарегистрируйтесь.

1184. Семинар 2 - Разветвляющиеся пр-мы. Циклы. Задача 2. Вариант 10

Ограничение времени: 1 секунды
Ограничение памяти:65536КБ
Баллы:2
Статистика Послать на проверку Задачу добавил Administrator

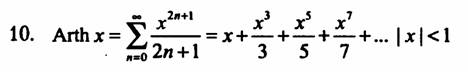
Описание: F:\informatika\kyrs 1\sem_02_02\pr_10\index.files\image001.jpg

Описание: F:\informatika\kyrs 1\sem_02_02\pr_10\index.files\image002.jpg

Формат входных данных.

Ввод: начало и конец интервала, шаг и точность

Вывод: таблица, каждая строка которой есть комбинация из четырех чисел – значение аргумента, значение функции, количество просуммированных членов ряда и расчет функции стандартными средствами с++

Пример входных данных:

0 0.9 0.1 0.0001

Пример выходных данных:

0.0 0.0000 1 0.0000

0.1 0.1003 3 0.1003

0.2 0.2027 3 0.2027

0.3 0.3095 4 0.3095

0.4 0.4236 5 0.4236

0.5 0.5493 6 0.5493

0.6 0.6931 8 0.6931

0.7 0.8673 10 0.8673

0.8 1.0985 14 1.0986

0.9 1.4719 26 1.4722


Статистика Послать на проверку Автор/источник:
Учебные курсы / Информатика для ИТ / Семинар 2. Разветвляющиеся пр-мы. Циклы. Задача 2 /
1183. 009 - Семинар 2 - Разветвляющиеся пр-мы. Циклы. Задача 2. Вариант 9 1184. 1185. 011 - Семинар 2 - Разветвляющиеся пр-мы. Циклы. Задача 2. Вариант 11 1186. 012 - Семинар 2 - Разветвляющиеся пр-мы. Циклы. Задача 2. Вариант 12 1187. 013 - Семинар 2 - Разветвляющиеся пр-мы. Циклы. Задача 2. Вариант 13
 
время генерации 0.047 сек.
© Copyright ВоГТУ, АВТ, Носов Д.А.