АВТ
Язык:

Дистанционный практикум по программированию

Задачи On-line статус ЧаВо Турниры
Для авторов:
 
Здравствуйте, Гость! Войдите с паролем или зарегистрируйтесь.

1185. Семинар 2 - Разветвляющиеся пр-мы. Циклы. Задача 2. Вариант 11

Ограничение времени: 1 секунды
Ограничение памяти:65536КБ
Баллы:2
Статистика Послать на проверку Задачу добавил Administrator

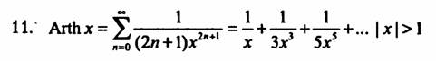
Описание: F:\informatika\kyrs 1\sem_02_02\pr_11\index.files\image001.jpg

Описание: F:\informatika\kyrs 1\sem_02_02\pr_11\index.files\image002.jpg

Формат входных данных.

Ввод: начало и конец интервала, шаг и точность

Вывод: таблица, каждая строка которой есть комбинация из четырех чисел – значение аргумента, значение функции, количество просуммированных членов ряда и расчет функции стандартными средствами с++

Пример входных данных:

-10 -5 1 0.0001

Пример выходных данных:

-10 -0.1003 3 -0.1003

-9 -0.1116 3 -0.1116

-8 -0.1257 3 -0.1257

-7 -0.1438 3 -0.1438

-6 -0.1682 3 -0.1682

-5 -0.2027 3 -0.2027


Статистика Послать на проверку Автор/источник:
Учебные курсы / Информатика для ИТ / Семинар 2. Разветвляющиеся пр-мы. Циклы. Задача 2 /
1184. 010 - Семинар 2 - Разветвляющиеся пр-мы. Циклы. Задача 2. Вариант 10 1185. 1186. 012 - Семинар 2 - Разветвляющиеся пр-мы. Циклы. Задача 2. Вариант 12 1187. 013 - Семинар 2 - Разветвляющиеся пр-мы. Циклы. Задача 2. Вариант 13 1188. 014 - Семинар 2 - Разветвляющиеся пр-мы. Циклы. Задача 2. Вариант 14
 
время генерации 0.484 сек.
© Copyright ВоГТУ, АВТ, Носов Д.А.