

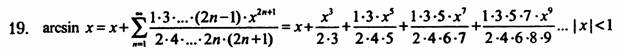
Формат входных данных.
Ввод: начало и конец интервала, шаг и точность
Вывод: таблица, каждая строка которой есть комбинация из четырех чисел – значение
аргумента, значение функции, количество просуммированных членов ряда и расчет
функции стандартными средствами с++
Пример входных данных:
0.2 0.9 0.1 0.0001
Пример выходных данных:
0.2 0.2013 3 0.2014
0.3 0.3000 2 0.3047
0.4 0.4000 2 0.4115
0.5 0.5000 2 0.5236
0.6 0.6000 2 0.6435
0.7 0.7000 2 0.7754
0.8 0.8000 2 0.9273
0.9 0.9000 2 1.1198