АВТ
Язык:

Дистанционный практикум по программированию

Задачи On-line статус ЧаВо Турниры
Для авторов:
 
Здравствуйте, Гость! Войдите с паролем или зарегистрируйтесь.

1194. Семинар 2 - Разветвляющиеся пр-мы. Циклы. Задача 2. Вариант 20

Ограничение времени: 1 секунды
Ограничение памяти:65536КБ
Баллы:2
Статистика Послать на проверку Задачу добавил Administrator

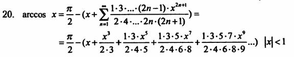
Описание: F:\informatika\kyrs 1\sem_02_02\pr_20\index.files\image001.jpg

Описание: F:\informatika\kyrs 1\sem_02_02\pr_20\index.files\image002.jpg

Формат входных данных.

Ввод: начало и конец интервала, шаг и точность

Вывод: таблица, каждая строка которой есть комбинация из четырех чисел – значение аргумента, значение функции, количество просуммированных членов ряда и расчет функции стандартными средствами с++

Пример входных данных:

0.1 0.9 0.1 0.0001

Пример выходных данных:

0.1 1.4706 3 1.4706

0.2 1.3708 2 1.3694

0.3 1.2708 2 1.2661

0.4 1.1708 2 1.1593

0.5 1.0708 2 1.0472

0.6 0.9708 2 0.9273

0.7 0.8708 2 0.7954

0.8 0.7708 2 0.6435

0.9 0.6708 2 0.4510


Статистика Послать на проверку Автор/источник:
Учебные курсы / Информатика для ИТ / Семинар 2. Разветвляющиеся пр-мы. Циклы. Задача 2 /
1193. 019 - Семинар 2 - Разветвляющиеся пр-мы. Циклы. Задача 2. Вариант 19 1194.
 
время генерации 0.141 сек.
© Copyright ВоГТУ, АВТ, Носов Д.А.