


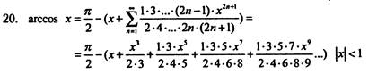
Формат
входных данных.
Ввод:
начало и конец интервала, шаг и точность
Вывод:
таблица, каждая строка которой есть комбинация из четырех чисел – значение
аргумента, значение функции, количество просуммированных членов ряда и расчет
функции стандартными средствами с++
Пример входных данных:
0.1
0.9 0.1 0.0001
Пример
выходных данных:
0.1 1.4706 3 1.4706
0.2 1.3694 2 1.3694
0.3 1.2661 2 1.2661
0.4 1.1593 2 1.1593
0.5 1.0472 2 1.0472
0.6 0.9273 2 0.9273
0.7 0.7954 2 0.7954
0.8 0.6436 2 0.6435
0.9 0.4513 2 0.4510