АВТ
Язык:

Дистанционный практикум по программированию

Задачи On-line статус ЧаВо Турниры
Для авторов:
 
Здравствуйте, Гость! Войдите с паролем или зарегистрируйтесь.

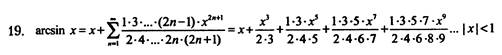
1293. Семинар 7. Функции. Задача 1. Вариант 19

Ограничение времени: 1 секунды
Ограничение памяти:65536КБ
Баллы:1
Статистика Послать на проверку Задачу добавил Administrator

Формат входных данных.

Ввод: начало и конец интервала, шаг и точность

Вывод: таблица, каждая строка которой есть комбинация из четырех чисел – значение аргумента, значение функции, количество просуммированных членов ряда и расчет функции стандартными средствами с++

Пример входных данных:

0.2 0.9 0.1 0.0001

Пример выходных данных:

0.2 0.2014 3 0.2014

0.3 0.3047 4 0.3047

0.4 0.4115 4 0.4115

0.5 0.5236 5 0.5236

0.6 0.6435 6 0.6435

0.7 0.7754 8 0.7754

0.8 0.9272 11 0.9273

0.9 1.1195 18 1.1198


Статистика Послать на проверку Автор/источник:
Учебные курсы / Языки программирования / Семинар 7. Функции.Задача 1 /
1292. 018 - Семинар 7. Функции. Задача 1. Вариант 18 1293. 1294. 020 - Семинар 7. Функции. Задача 1. Вариант 20
 
время генерации 0.406 сек.
© Copyright ВоГТУ, АВТ, Носов Д.А.