АВТ
Язык:

Дистанционный практикум по программированию

Задачи On-line статус ЧаВо Турниры
Для авторов:
 
Здравствуйте, Гость! Войдите с паролем или зарегистрируйтесь.

987. А119(В)

Ограничение времени: 1 секунды
Ограничение памяти:65536КБ
Баллы:2
Статистика Послать на проверку Задачу добавил Неизвестный

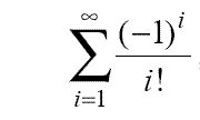
Вычислить бесконечную сумму с заданной точнотью E(E>0). Считать что требуемая точность достигнута, если несколько первых слагаемых и очередное слагаемое оказалось по модулю меньше, чем E, это и все последующие слагаемые можно уже не учитывать.


Исходные данные

Одно число точность E(E>0).

Результат

Одно число - ответ

Пример

Исходные данныеРезультат
Пример 1. Вход:
0.1
Пример 1. Выход:
-2.625

Статистика Послать на проверку Автор/источник:
Учебные курсы / Новые задачи в тестовой эксплуатации /
958. А.78(д) 987. 1030. А11в 948. А34 (а) 986. А68б
 
время генерации 0.047 сек.
© Copyright ВоГТУ, АВТ, Носов Д.А.