

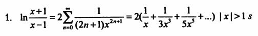
Формат входных данных.
Ввод: начало и конец интервала, шаг и точность
Вывод: таблица, каждая строка которой есть комбинация из четырех чисел –
значение аргумента, значение функции, количество просуммированных членов ряда и
расчет функции стандартными средствами с++
Пример входных данных:
1.5 2.5 0.1 0.0001
Пример выходных данных:
1.5 1.6094 9 1.6094
1.6 1.4663 8 1.4663
1.7 1.3499 7 1.3499
1.8 1.2527 7 1.2528
1.9 1.1700 6 1.1701
2.0 1.0986 6 1.0986
2.1 1.0361 6 1.0361
2.2 0.9808 5 0.9808
2.3 0.9315 5 0.9316
2.4 0.8873 5 0.8873
2.5 0.8473 5 0.8473