

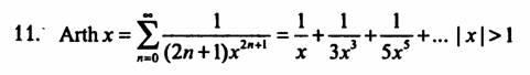
Формат входных данных.
Ввод: начало и конец интервала, шаг и точность
Вывод: таблица, каждая строка которой есть комбинация
из четырех чисел – значение аргумента, значение функции, количество
просуммированных членов ряда и расчет функции стандартными средствами с++
Пример входных данных:
-10
-5 1 0.0001
Пример выходных данных:
-10
-0.1003 3 -0.1003
-9 -0.1116 3 -0.1116
-8 -0.1257 3 -0.1257
-7 -0.1438 3 -0.1438
-6 -0.1682 3 -0.1682
-5 -0.2027 3 -0.2027