


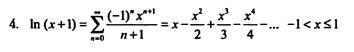
Формат
входных данных.
Ввод:
начало и конец интервала, шаг и точность
Вывод:
таблица, каждая строка которой есть комбинация из четырех чисел – значение
аргумента, значение функции, количество просуммированных членов ряда и расчет
функции стандартными средствами с++
Пример входных данных:
0.1 0.9 0.1 0.0001
Пример выходных данных:
0.1 0.0953 4 0.0953
0.2 0.1823 5 0.1823
0.3 0.2624 7 0.2624
0.4 0.3365 8 0.3365
0.5 0.4054 10 0.4055
0.6 0.4700 14 0.4700
0.7 0.5306 18 0.5306
0.8 0.5878 27 0.5878
0.9 0.6419 51 0.6419