АВТ
Язык:

Дистанционный практикум по программированию

Задачи On-line статус ЧаВо Турниры
Для авторов:
 
Здравствуйте, Гость! Войдите с паролем или зарегистрируйтесь.

1279. Семинар 7. Функции. Задача 1. Вариант 5

Ограничение времени: 1 секунды
Ограничение памяти:65536КБ
Баллы:1
Статистика Послать на проверку Задачу добавил Administrator

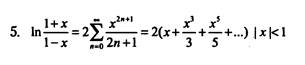
Формат входных данных.

Ввод: начало и конец интервала, шаг и точность

Вывод: таблица, каждая строка которой есть комбинация из четырех чисел – значение аргумента, значение функции, количество просуммированных членов ряда и расчет функции стандартными средствами с++

Пример входных данных:

0 0.9 0.1 0.0001

Пример выходных данных:

0.0 0.0000 1 0.0000

0.1 0.2007 3 0.2007

0.2 0.4055 3 0.4055

0.3 0.6190 4 0.6190

0.4 0.8473 5 0.8473

0.5 1.0986 6 1.0986

0.6 1.3863 8 1.3863

0.7 1.7375 10 1.7346

0.8 2.1970 14 2.1972

0.9 2.9438 26 2.9444


Статистика Послать на проверку Автор/источник:
Учебные курсы / Языки программирования / Семинар 7. Функции.Задача 1 /
1278. 004 - Семинар 7. Функции. Задача 1. Вариант 4 1279. 1280. 006 - Семинар 7. Функции. Задача 1. Вариант 6 1437. 007 - Семинар 7. Функции. Задача 1. Вариант 7 1282. 008 - Семинар 7. Функции. Задача 1. Вариант 8
 
время генерации 0.593 сек.
© Copyright ВоГТУ, АВТ, Носов Д.А.