АВТ
Language:

Remote Training on Programming

Problems On-line status Contests FAQ
For authors:
Register  ||  Login
 
Hello, Guest! Login or register.

252. ЛКП->КЛП

Time Limit: 1 seconds
Memory Limit:2000KB
Points:5
View Problem Statistics Submit Problem added Undefined

Дано бинарное дерево, все его вершины уникально пронумерованы целыми числами. 

КЛП-скобочное представление дерева строится следующим образом:
- пустое дерево представляется словом NIL
- дерево из одной вершины представляется одним числом - её номером
- непустое дерево представляется как (n,A,B), где n - номер корня дерева, 
  A и B - КЛП-скобочные представления левого и правого поддеревьев.

Аналогично строится и ЛКП-представление, только непустое дерево записывается как (A,n,B).

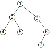
Например, для изображенного на рисунке дерева соответствующие представления имеют вид:
КЛП: (1,(2,4,5),(3,NIL,(6,7,NIL)))
ЛКП: ((4,2,5),1,(NIL,3,(7,6,NIL)))
Дано ЛКП-представление дерева. Требуется получить его КЛП-представление.

Входные данные: 
ЛКП-представление дерева длиной не более 100000 символов

Выходные данные: 
КЛП-представление этого дерева

Пример входных данных:
((4,2,5),1,(NIL,3,(7,6,NIL)))

Пример выходных данных:
(1,(2,4,5),(3,NIL,(6,7,NIL)))

View Problem Statistics Submit Author/source:
Educational Courses / Data Structures and Algorithms / Data Structures /
251. КЛП->ЛКП 252. 253. Луч 248. Постфиксная запись 244. Циклическая очередь
We can all benefit by doing occasional "toy" programs, when artificial restrictions are set up, so that we are forced to push our abilities to the limit. The art of tackling miniproblems with all our energy will sharpen our talents for the real problems. Donald E. Knuth.
time generating 0.046 sec.
© Copyright VSTU, AVT, Nosov D.A.