АВТ
Язык:

Дистанционный практикум по программированию

Задачи On-line статус ЧаВо Турниры
Для авторов:
 
Здравствуйте, Гость! Войдите с паролем или зарегистрируйтесь.

253. Луч

Ограничение времени: 1 секунды
Ограничение памяти:3000КБ
Баллы:5
Статистика Послать на проверку Задачу добавил Неизвестный

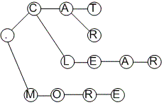
На следующем рисунке изображен луч, построенный над набором слов 'CAT', 'CLEAR', 'CAR', 'MORE'. 
Дан набор слов. Требуется определить количество вершин в луче, построенном над ними.

Входные данные:
В первой строчке находится число N - количество слов, N не превышает 10000
В каждой следующй строчке записано очередное слово, состоящее из заглавных английских букв. 
Длиная слова не превышает 20 символов.

Выходные данные:
Одно число - количество вершин в луче

Пример входных данных:
4
CAT
CLEAR
CAR
MORE

Пример выходных данных:
13

Статистика Послать на проверку Автор/источник:
Задачи по темам / Динамические структуры данных /
215. Двоичное дерево поиска 253. 24. Однострочный редактор 863. Очередь 203. Перемешайте книжки
Учебные курсы / Структуры и алгоритмы / Структуры данных /
252. ЛКП->КЛП 253. 248. Постфиксная запись 227. Скобкозамена 226. Скобкоконтроль
 
время генерации 0.468 сек.
© Copyright ВоГТУ, АВТ, Носов Д.А.