АВТ
Language:

Remote Training on Programming

Problems On-line status Contests FAQ
For authors:
Register  ||  Login
 
Hello, Guest! Login or register.

253. Луч

Time Limit: 1 seconds
Memory Limit:3000KB
Points:5
View Problem Statistics Submit Problem added Undefined

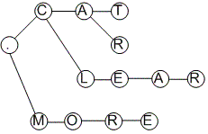
На следующем рисунке изображен луч, построенный над набором слов 'CAT', 'CLEAR', 'CAR', 'MORE'. 
Дан набор слов. Требуется определить количество вершин в луче, построенном над ними.

Входные данные:
В первой строчке находится число N - количество слов, N не превышает 10000
В каждой следующй строчке записано очередное слово, состоящее из заглавных английских букв. 
Длиная слова не превышает 20 символов.

Выходные данные:
Одно число - количество вершин в луче

Пример входных данных:
4
CAT
CLEAR
CAR
MORE

Пример выходных данных:
13

View Problem Statistics Submit Author/source:
Sorted Problems / Dynamic Data Structures /
42. Who is Last 253. 244. Циклическая очередь
Educational Courses / Data Structures and Algorithms / Data Structures /
252. ЛКП->КЛП 253. 248. Постфиксная запись 244. Циклическая очередь
We can all benefit by doing occasional "toy" programs, when artificial restrictions are set up, so that we are forced to push our abilities to the limit. The art of tackling miniproblems with all our energy will sharpen our talents for the real problems. Donald E. Knuth.
time generating 0.078 sec.
© Copyright VSTU, AVT, Nosov D.A.