АВТ
Язык:

Дистанционный практикум по программированию

Задачи On-line статус ЧаВо Турниры
Для авторов:
 
Здравствуйте, Гость! Войдите с паролем или зарегистрируйтесь.

252. ЛКП->КЛП

Ограничение времени: 1 секунды
Ограничение памяти:2000КБ
Баллы:5
Статистика Послать на проверку Задачу добавил Неизвестный

Дано бинарное дерево, все его вершины уникально пронумерованы целыми числами. 

КЛП-скобочное представление дерева строится следующим образом:
- пустое дерево представляется словом NIL
- дерево из одной вершины представляется одним числом - её номером
- непустое дерево представляется как (n,A,B), где n - номер корня дерева, 
  A и B - КЛП-скобочные представления левого и правого поддеревьев.

Аналогично строится и ЛКП-представление, только непустое дерево записывается как (A,n,B).

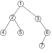
Например, для изображенного на рисунке дерева соответствующие представления имеют вид:
КЛП: (1,(2,4,5),(3,NIL,(6,7,NIL)))
ЛКП: ((4,2,5),1,(NIL,3,(7,6,NIL)))
Дано ЛКП-представление дерева. Требуется получить его КЛП-представление.

Входные данные: 
ЛКП-представление дерева длиной не более 100000 символов

Выходные данные: 
КЛП-представление этого дерева

Пример входных данных:
((4,2,5),1,(NIL,3,(7,6,NIL)))

Пример выходных данных:
(1,(2,4,5),(3,NIL,(6,7,NIL)))

Статистика Послать на проверку Автор/источник:
Учебные курсы / Структуры и алгоритмы / Структуры данных /
251. КЛП->ЛКП 252. 253. Луч 248. Постфиксная запись 227. Скобкозамена
 
время генерации 0.062 сек.
© Copyright ВоГТУ, АВТ, Носов Д.А.