АВТ
Язык:

Дистанционный практикум по программированию

Задачи On-line статус ЧаВо Турниры
Для авторов:
 
Здравствуйте, Гость! Войдите с паролем или зарегистрируйтесь.

1050. A114v

Ограничение времени: 1 секунды
Ограничение памяти:65536КБ
Баллы:2
Статистика Послать на проверку Задачу добавил Неизвестный

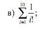
Данo число i в диапозоне от 1 до 10

Вычислить формулу:


Исходные данные

Число i

Результат

Действительное число

Пример

Исходные данныеРезультат
Пример 1. Вход:
8
Пример 1. Выход:
1.71827877

Статистика Послать на проверку Автор/источник:
Учебные курсы / Новые задачи в тестовой эксплуатации /
1017. A114a 1050. 1033. A116a 1016. A11b 1051. A21
 
время генерации 0.093 сек.
© Copyright ВоГТУ, АВТ, Носов Д.А.