АВТ
Язык:

Дистанционный практикум по программированию

Задачи On-line статус ЧаВо Турниры
Для авторов:
 
Здравствуйте, Гость! Войдите с паролем или зарегистрируйтесь.

1068. Уравнение

Ограничение времени: 1 секунды
Ограничение памяти:65536КБ
Баллы:2
Статистика Послать на проверку Задачу добавил Неизвестный

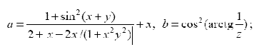
Даны x,y,z. Вычислить a,b, если


На входе

Три действительных числа x,y,z, разделенных пробелами или переводами строк.

Z не равно 0

На выходе

Два числа a и b с точностью до шести знаков после запятой.

Пример 1. Вход:
4 7 9
 Выход:
0.997449 0.80144

Статистика Послать на проверку Автор/источник:
Учебные курсы / Новые задачи в тестовой эксплуатации /
628. Удаление слова 1068. 1074. Уравнение2 1090. Условие существования треугольника 1031. а25
 
время генерации 0.078 сек.
© Copyright ВоГТУ, АВТ, Носов Д.А.