АВТ
Language:

Remote Training on Programming

Problems On-line status Contests FAQ
For authors:
Register  ||  Login
 
Hello, Guest! Login or register.

1074. Uravnenie2

Time Limit: 1 seconds
Memory Limit:65536KB
Points:2
View Problem Statistics Submit Problem added Undefined

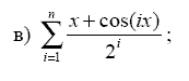
Даны натуральное число n, действительное число x. Вычислить:

На входе

Три числа n И x разделенных пробелами или переводами строк.

На выходе

Одно число.

Пример 1. Вход:
3 1
 Выход:
0.917782

View Problem Statistics Submit Author/source:
Educational Courses / New problems in testing /
1068. Uravnenie 1074. 662. Vremena goda 1052. a11zch 630. electrical
We can all benefit by doing occasional "toy" programs, when artificial restrictions are set up, so that we are forced to push our abilities to the limit. The art of tackling miniproblems with all our energy will sharpen our talents for the real problems. Donald E. Knuth.
time generating 0.125 sec.
© Copyright VSTU, AVT, Nosov D.A.