АВТ
Язык:

Дистанционный практикум по программированию

Задачи On-line статус ЧаВо Турниры
Для авторов:
 
Здравствуйте, Гость! Войдите с паролем или зарегистрируйтесь.

1074. Уравнение2

Ограничение времени: 1 секунды
Ограничение памяти:65536КБ
Баллы:2
Статистика Послать на проверку Задачу добавил Неизвестный

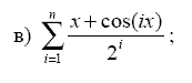
Даны натуральное число n, действительное число x. Вычислить:

На входе

Три числа n И x разделенных пробелами или переводами строк.

На выходе

Одно число.

Пример 1. Вход:
3 1
 Выход:
0.917782

Статистика Послать на проверку Автор/источник:
Учебные курсы / Новые задачи в тестовой эксплуатации /
1068. Уравнение 1074. 1090. Условие существования треугольника 1031. а25 1036. а59з
 
время генерации 0.468 сек.
© Copyright ВоГТУ, АВТ, Носов Д.А.