АВТ
Language:

Remote Training on Programming

Problems On-line status Contests FAQ
For authors:
Register  ||  Login
 
Hello, Guest! Login or register.

1068. Uravnenie

Time Limit: 1 seconds
Memory Limit:65536KB
Points:2
View Problem Statistics Submit Problem added Undefined

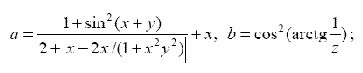
Даны x,y,z. Вычислить a,b, если


На входе

Три действительных числа x,y,z, разделенных пробелами или переводами строк.

Z не равно 0

На выходе

Два числа a и b с точностью до шести знаков после запятой.

Пример 1. Вход:
4 7 9
 Выход:
0.997449 0.80144

View Problem Statistics Submit Author/source:
Educational Courses / New problems in testing /
677. Triangle inside the circle is located 1068. 1074. Uravnenie2 662. Vremena goda 1052. a11zch
We can all benefit by doing occasional "toy" programs, when artificial restrictions are set up, so that we are forced to push our abilities to the limit. The art of tackling miniproblems with all our energy will sharpen our talents for the real problems. Donald E. Knuth.
time generating 0.296 sec.
© Copyright VSTU, AVT, Nosov D.A.