АВТ
Language:

Remote Training on Programming

Problems On-line status Contests FAQ
For authors:
Register  ||  Login
 
Hello, Guest! Login or register.

1050. A114v

Time Limit: 1 seconds
Memory Limit:65536KB
Points:2
View Problem Statistics Submit Problem added Undefined

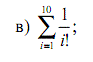
Данo число i в диапозоне от 1 до 10

Вычислить формулу:


Input

Число i

Output

Действительное число

Sample

InputOutput
Пример 1. Вход:
8
Пример 1. Выход:
1.71827877

View Problem Statistics Submit Author/source:
Educational Courses / New problems in testing /
1017. A114a 1050. 1033. A116a 1016. A11b 1030. A11в
We can all benefit by doing occasional "toy" programs, when artificial restrictions are set up, so that we are forced to push our abilities to the limit. The art of tackling miniproblems with all our energy will sharpen our talents for the real problems. Donald E. Knuth.
time generating 0.062 sec.
© Copyright VSTU, AVT, Nosov D.A.