АВТ
Язык:

Дистанционный практикум по программированию

Задачи On-line статус ЧаВо Турниры
Для авторов:
 
Здравствуйте, Гость! Войдите с паролем или зарегистрируйтесь.

1175. Семинар 2 - Разветвляющиеся пр-мы. Циклы. Задача 2. Вариант 1

Ограничение времени: 1 секунды
Ограничение памяти:65536КБ
Баллы:2
Статистика Послать на проверку Задачу добавил Administrator

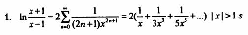
Описание: F:\informatika\kyrs 1\sem_02_02\pr_01\index.files\image001.jpg

Описание: F:\informatika\kyrs 1\sem_02_02\pr_01\index.files\image002.jpg

Формат входных данных.

Ввод: начало и конец интервала, шаг и точность

Вывод: таблица, каждая строка которой есть комбинация из четырех чисел – значение аргумента, значение функции, количество просуммированных членов ряда и расчет функции стандартными средствами с++

Пример входных данных:

1.5 2.5 0.1 0.0001

Пример выходных данных:

1.5 1.6094 9 1.6094

1.6 1.4663 8 1.4663

1.7 1.3499 7 1.3499

1.8 1.2527 7 1.2528

1.9 1.1700 6 1.1701

2.0 1.0986 6 1.0986

2.1 1.0361 6 1.0361

2.2 0.9808 5 0.9808

2.3 0.9315 5 0.9316

2.4 0.8873 5 0.8873

2.5 0.8473 5 0.8473


Статистика Послать на проверку Автор/источник:
Учебные курсы / Информатика для ИТ / Семинар 2. Разветвляющиеся пр-мы. Циклы. Задача 2 /
1175. 1176. 002 - Семинар 2 - Разветвляющиеся пр-мы. Циклы. Задача 2. Вариант 2 1177. 003 - Семинар 2 - Разветвляющиеся пр-мы. Циклы. Задача 2. Вариант 3 1178. 004 - Семинар 2 - Разветвляющиеся пр-мы. Циклы. Задача 2. Вариант 4
 
время генерации 0.016 сек.
© Copyright ВоГТУ, АВТ, Носов Д.А.