

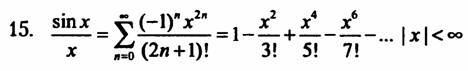
Формат входных данных.
Ввод: начало и конец интервала, шаг и точность
Вывод: таблица, каждая строка которой есть комбинация из четырех чисел – значение
аргумента, значение функции, количество просуммированных членов ряда и расчет
функции стандартными средствами с++
Пример входных данных:
1.5 2.5 0.1 0.0001
Пример выходных данных:
1.5 0.6650 11 0.6650
1.6 0.6247 13 0.6247
1.7 0.5833 13 0.5833
1.8 0.5410 13 0.5410
1.9 0.4981 13 0.4981
2.0 0.4546 13 0.4546
2.1 0.4111 13 0.4111
2.2 0.3675 13 0.3675
2.3 0.3242 15 0.3242
2.4 0.2815 15 0.2814
2.5 0.2394 15 0.2394