АВТ
Язык:

Дистанционный практикум по программированию

Задачи On-line статус ЧаВо Турниры
Для авторов:
 
Здравствуйте, Гость! Войдите с паролем или зарегистрируйтесь.

1191. Семинар 2 - Разветвляющиеся пр-мы. Циклы. Задача 2. Вариант 17

Ограничение времени: 1 секунды
Ограничение памяти:65536КБ
Баллы:2
Статистика Послать на проверку Задачу добавил Administrator

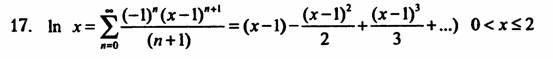
Описание: Описание: E:\My_documents\Work\Informatika_testy\sem_03\pr_17\index.files\image001.jpg

Описание: Описание: E:\My_documents\Work\Informatika_testy\sem_03\pr_17\index.files\image002.jpg

Формат входных данных.

Ввод: начало и конец интервала, шаг и точность

Вывод: таблица, каждая строка которой есть комбинация из четырех чисел – значение аргумента, значение функции, количество просуммированных членов ряда и расчет функции стандартными средствами с++

Пример входных данных:

1 2 0.1 0.0001

Пример выходных данных:

1.0 0.0000 1 0.0000

1.1 0.0953 4 0.0953

1.2 0.1823 5 0.1823

1.3 0.2624 7 0.2624

1.4 0.3365 8 0.3365

1.5 0.4054 10 0.4055


Статистика Послать на проверку Автор/источник:
Учебные курсы / Информатика для ИТ / Семинар 2. Разветвляющиеся пр-мы. Циклы. Задача 2 /
1190. 016 - Семинар 2 - Разветвляющиеся пр-мы. Циклы. Задача 2. Вариант 16 1191. 1192. 018 - Семинар 2 - Разветвляющиеся пр-мы. Циклы. Задача 2. Вариант 18 1193. 019 - Семинар 2 - Разветвляющиеся пр-мы. Циклы. Задача 2. Вариант 19 1194. 020 - Семинар 2 - Разветвляющиеся пр-мы. Циклы. Задача 2. Вариант 20
 
время генерации 0.109 сек.
© Copyright ВоГТУ, АВТ, Носов Д.А.