АВТ
Язык:

Дистанционный практикум по программированию

Задачи On-line статус ЧаВо Турниры
Для авторов:
 
Здравствуйте, Гость! Войдите с паролем или зарегистрируйтесь.

1190. Семинар 2 - Разветвляющиеся пр-мы. Циклы. Задача 2. Вариант 16

Ограничение времени: 1 секунды
Ограничение памяти:65536КБ
Баллы:2
Статистика Послать на проверку Задачу добавил Administrator

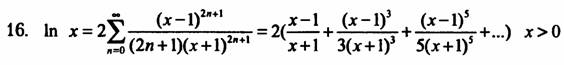
Описание: F:\informatika\kyrs 1\sem_02_02\pr_16\index.files\image001.jpg

Описание: F:\informatika\kyrs 1\sem_02_02\pr_16\index.files\image002.jpg

Формат входных данных.

Ввод: начало и конец интервала, шаг и точность

Вывод: таблица, каждая строка которой есть комбинация из четырех чисел – значение аргумента, значение функции, количество просуммированных членов ряда и расчет функции стандартными средствами с++

Пример входных данных:

1.5 2.5 0.1 0.0001

Пример выходных данных:

1.5 0.4055 3 0.4055

1.6 0.4700 4 0.4700

1.7 0.5306 4 0.5306

1.8 0.5878 4 0.5878

1.9 0.6418 4 0.6419

2.0 0.6931 4 0.6931

2.1 0.7419 5 0.7419

2.2 0.7885 5 0.7885

2.3 0.8329 5 0.8329

2.4 0.8755 5 0.8755

2.5 0.9163 5 0.9163


Статистика Послать на проверку Автор/источник:
Учебные курсы / Информатика для ИТ / Семинар 2. Разветвляющиеся пр-мы. Циклы. Задача 2 /
1189. 015 - Семинар 2 - Разветвляющиеся пр-мы. Циклы. Задача 2. Вариант 15 1190. 1191. 017 - Семинар 2 - Разветвляющиеся пр-мы. Циклы. Задача 2. Вариант 17 1192. 018 - Семинар 2 - Разветвляющиеся пр-мы. Циклы. Задача 2. Вариант 18 1193. 019 - Семинар 2 - Разветвляющиеся пр-мы. Циклы. Задача 2. Вариант 19
 
время генерации 0.078 сек.
© Copyright ВоГТУ, АВТ, Носов Д.А.