


Формат
входных данных.
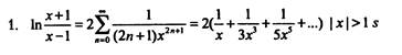
Ввод:
начало и конец интервала, шаг и точность
Вывод:
таблица, каждая строка которой есть комбинация из четырех чисел – значение
аргумента, значение функции, количество просуммированных членов ряда и расчет
функции стандартными средствами с++
Пример
входных данных:
1.5
2.5 0.1 0.0001
Пример
выходных данных:
1.5 1.6094 9 1.6094
1.6 1.4663 8 1.4663
1.7 1.3499 7 1.3499
1.8 1.2528 7 1.2528
1.9 1.1701 6 1.1701
2.0 1.0986 6 1.0986
2.1 1.0361 6 1.0361
2.2 0.9808 5 0.9808
2.3 0.9316 5 0.9316
2.4 0.8873 5 0.8873
2.5 0.8473 5 0.8473