АВТ
Язык:

Дистанционный практикум по программированию

Задачи On-line статус ЧаВо Турниры
Для авторов:
 
Здравствуйте, Гость! Войдите с паролем или зарегистрируйтесь.

1278. Семинар 7. Функции. Задача 1. Вариант 4

Ограничение времени: 1 секунды
Ограничение памяти:65536КБ
Баллы:1
Статистика Послать на проверку Задачу добавил Administrator

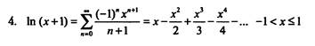
Формат входных данных.

Ввод: начало и конец интервала, шаг и точность

Вывод: таблица, каждая строка которой есть комбинация из четырех чисел – значение аргумента, значение функции, количество просуммированных членов ряда и расчет функции стандартными средствами с++

Пример входных данных:

0.1 0.9 0.1 0.0001

Пример выходных данных:

0.1 0.0953 4 0.0953

0.2 0.1823 5 0.1823

0.3 0.2624 7 0.2624

0.4 0.3365 8 0.3365

0.5 0.4054 10 0.4055

0.6 0.4700 14 0.4700

0.7 0.5306 18 0.5306

0.8 0.5878 27 0.5878

0.9 0.6419 51 0.6419


Статистика Послать на проверку Автор/источник:
Учебные курсы / Языки программирования / Семинар 7. Функции.Задача 1 /
1277. 003 - Семинар 7. Функции. Задача 1. Вариант 3 1278. 1279. 005 - Семинар 7. Функции. Задача 1. Вариант 5 1280. 006 - Семинар 7. Функции. Задача 1. Вариант 6 1437. 007 - Семинар 7. Функции. Задача 1. Вариант 7
 
время генерации 0.421 сек.
© Copyright ВоГТУ, АВТ, Носов Д.А.