АВТ
Язык:

Дистанционный практикум по программированию

Задачи On-line статус ЧаВо Турниры
Для авторов:
 
Здравствуйте, Гость! Войдите с паролем или зарегистрируйтесь.

1276. Семинар 7. Функции. Задача 1. Вариант 2

Ограничение времени: 1 секунды
Ограничение памяти:65536КБ
Баллы:1
Статистика Послать на проверку Задачу добавил Administrator

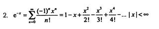
Формат входных данных.

Ввод: начало и конец интервала, шаг и точность

Вывод: таблица, каждая строка которой есть комбинация из четырех чисел – значение аргумента, значение функции, количество просуммированных членов ряда и расчет функции стандартными средствами с++

Пример входных данных:

1.5 2.5 0.1 0.0001

Пример выходных данных:

1.5 0.2231 10 0.2231

1.6 0.2019 10 0.2019

1.7 0.1827 10 0.1827

1.8 0.1653 10 0.1653

1.9 0.1496 11 0.1496

2.0 0.1353 11 0.1353

2.1 0.1224 11 0.1225

2.2 0.1108 12 0.1108

2.3 0.1003 12 0.1003

2.4 0.0907 12 0.0907

2.5 0.0821 13 0.0821


Статистика Послать на проверку Автор/источник:
Учебные курсы / Языки программирования / Семинар 7. Функции.Задача 1 /
1275. 001 - Семинар 7. Функции. Задача 1. Вариант 1 1276. 1277. 003 - Семинар 7. Функции. Задача 1. Вариант 3 1278. 004 - Семинар 7. Функции. Задача 1. Вариант 4 1279. 005 - Семинар 7. Функции. Задача 1. Вариант 5
 
время генерации 0.047 сек.
© Copyright ВоГТУ, АВТ, Носов Д.А.