АВТ
Язык:

Дистанционный практикум по программированию

Задачи On-line статус ЧаВо Турниры
Для авторов:
 
Здравствуйте, Гость! Войдите с паролем или зарегистрируйтесь.

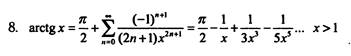
1282. Семинар 7. Функции. Задача 1. Вариант 8

Ограничение времени: 1 секунды
Ограничение памяти:65536КБ
Баллы:1
Статистика Послать на проверку Задачу добавил Administrator

Формат входных данных.

Ввод: начало и конец интервала, шаг и точность

Вывод: таблица, каждая строка которой есть комбинация из четырех чисел – значение аргумента, значение функции, количество просуммированных членов ряда и расчет функции стандартными средствами с++

Пример входных данных:

1.5 2.5 0.1 0.0001

Пример выходных данных:

1.5 0.9828 9 0.9828

1.6 1.0122 8 1.0122

1.7 1.0391 7 1.0391

1.8 1.0637 7 1.0637

1.9 1.0863 6 1.0863

2.0 1.1072 6 1.1071

2.1 1.1264 6 1.1264

2.2 1.1442 5 1.1442

2.3 1.1607 5 1.1607

2.4 1.1760 5 1.1760

2.5 1.1903 5 1.1903


Статистика Послать на проверку Автор/источник:
Учебные курсы / Языки программирования / Семинар 7. Функции.Задача 1 /
1437. 007 - Семинар 7. Функции. Задача 1. Вариант 7 1282. 1283. 009 - Семинар 7. Функции. Задача 1. Вариант 9 1284. 010 - Семинар 7. Функции. Задача 1. Вариант 10 1285. 011 - Семинар 7. Функции. Задача 1. Вариант 11
 
время генерации 0.094 сек.
© Copyright ВоГТУ, АВТ, Носов Д.А.