

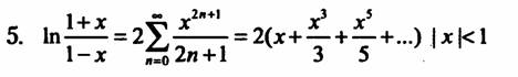
Формат входных данных.
Ввод: начало и конец интервала, шаг и точность
Вывод: таблица, каждая строка которой есть комбинация
из четырех чисел – значение аргумента, значение функции, количество
просуммированных членов ряда и расчет функции стандартными средствами с++
Пример входных данных:
0
0.9 0.1 0.0001
Пример выходных данных:
0.0 0.0000 1 0.0000
0.1 0.2007 3 0.2007
0.2 0.4055 3 0.4055
0.3 0.6190 4 0.6190
0.4 0.8473 5 0.8473
0.5 1.0986 6 1.0986
0.6 1.3863 8 1.3863
0.7 1.7345 10 1.7346
0.8 2.1970 14 2.1972
0.9 2.9438 26 2.9444