

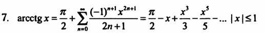
Формат входных данных.
Ввод: начало и конец интервала, шаг и точность
Вывод: таблица, каждая строка которой есть комбинация
из четырех чисел – значение аргумента, значение функции, количество
просуммированных членов ряда и расчет функции стандартными средствами с++
Пример входных данных:
0
0.9 0.1 0.0001
Пример выходных данных:
0.0 1.5708 1 1.5708
0.1 1.4711 3 1.4711
0.2 1.3734 3 1.3734
0.3 1.2793 4 1.2793
0.4 1.1903 5 1.1903
0.5 1.1072 6 1.1071
0.6 1.0304 8 1.0304
0.7 0.9601 10 0.9601
0.8 0.8961 14 0.8961
0.9 0.8380 26 0.8380