

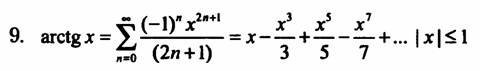
Формат входных данных.
Ввод: начало и конец интервала, шаг и точность
Вывод: таблица, каждая строка которой есть комбинация
из четырех чисел – значение аргумента, значение функции, количество
просуммированных членов ряда и расчет функции стандартными средствами с++
Пример входных данных:
0
1 0.1 0.0001
Пример выходных данных:
0.0 0.0000 1 0.0000
0.1 0.0997 3 0.0997
0.2 0.1974 3 0.1974
0.3 0.2915 4 0.2915
0.4 0.3805 5 0.3805
0.5 0.4636 6 0.4636
0.6 0.5404 8 0.5404
0.7 0.6107 10 0.6107
0.8 0.6747 14 0.6747
0.9 0.7328 26 0.7328
1.0 0.7854 5001 0.7854