АВТ
Language:

Remote Training on Programming

Problems On-line status Contests FAQ
For authors:
Register  ||  Login
 
Hello, Guest! Login or register.

1187. Семинар 2 - Разветвляющиеся пр-мы. Циклы. Задача 2. Вариант 13

Time Limit: 1 seconds
Memory Limit:65536KB
Points:2
View Problem Statistics Submit Problem added Administrator

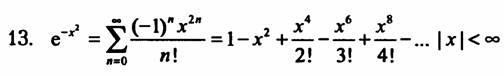
Описание: F:\informatika\kyrs 1\sem_02_02\pr_13\index.files\image001.jpg

Описание: F:\informatika\kyrs 1\sem_02_02\pr_13\index.files\image002.jpg

Формат входных данных.

Ввод: начало и конец интервала, шаг и точность

Вывод: таблица, каждая строка которой есть комбинация из четырех чисел – значение аргумента, значение функции, количество просуммированных членов ряда и расчет функции стандартными средствами с++

Пример входных данных:

-1 1 0.5 0.0001

Пример выходных данных:

-1.0 0.3679 9 0.3679

-0.5 0.7788 6 0.7788

0.0 1.0000 2 1.0000

0.5 0.7788 6 0.7788

1.0 0.3679 9 0.3679


View Problem Statistics Submit Author/source:
Educational Courses / Информатика для ИТ / Семинар 2. Разветвляющиеся пр-мы. Циклы. Задача 2 /
1186. 012 - Семинар 2 - Разветвляющиеся пр-мы. Циклы. Задача 2. Вариант 12 1187. 1188. 014 - Семинар 2 - Разветвляющиеся пр-мы. Циклы. Задача 2. Вариант 14 1189. 015 - Семинар 2 - Разветвляющиеся пр-мы. Циклы. Задача 2. Вариант 15 1190. 016 - Семинар 2 - Разветвляющиеся пр-мы. Циклы. Задача 2. Вариант 16
We can all benefit by doing occasional "toy" programs, when artificial restrictions are set up, so that we are forced to push our abilities to the limit. The art of tackling miniproblems with all our energy will sharpen our talents for the real problems. Donald E. Knuth.
time generating 0.094 sec.
© Copyright VSTU, AVT, Nosov D.A.