


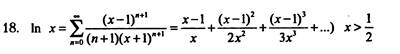
Формат
входных данных.
Ввод:
начало и конец интервала, шаг и точность
Вывод:
таблица, каждая строка которой есть комбинация из четырех чисел – значение
аргумента, значение функции, количество просуммированных членов ряда и расчет
функции стандартными средствами с++
Пример входных данных:
1.5
2.5 0.1 0.0001
Пример
выходных данных:
1.5 0.4054 7 0.4055
1.6 0.47 8 0.47
1.7 0.5306 9 0.5306
1.8 0.5877 9 0.5878
1.9 0.6418 10 0.6419
2 0.6931 10 0.6931
2.1 0.7419 11 0.7419
2.2 0.7884 12 0.7885
2.3 0.8328 12 0.8329
2.4 0.8754 13 0.8755
2.5 0.9162 14 0.9163