


Формат
входных данных.
Ввод:
начало и конец интервала, шаг и точность
Вывод:
таблица, каждая строка которой есть комбинация из четырех чисел – значение
аргумента, значение функции, количество просуммированных членов ряда и расчет
функции стандартными средствами с++
Пример входных данных:
0.2
0.9 0.1 0.0001
Пример
выходных данных:
0.2 0.2014 3 0.2014
0.3 0.33047 4 0.3047
0.4 0.4115 4 0.4115
0.5 0.5236 5 0.5236
0.6 0.6435 6 0.6435
0.7 0.7754 8 0.7754
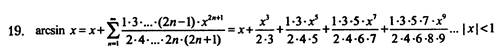
0.8 0.9272 11 0.9273
0.9 1.1195 18 1.1198