АВТ
Язык:

Дистанционный практикум по программированию

Задачи On-line статус ЧаВо Турниры
Для авторов:
 
Здравствуйте, Гость! Войдите с паролем или зарегистрируйтесь.

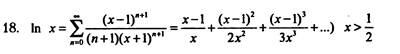
1292. Семинар 7. Функции. Задача 1. Вариант 18

Ограничение времени: 1 секунды
Ограничение памяти:65536КБ
Баллы:1
Статистика Послать на проверку Задачу добавил Administrator

Формат входных данных.

Ввод: начало и конец интервала, шаг и точность

Вывод: таблица, каждая строка которой есть комбинация из четырех чисел – значение аргумента, значение функции, количество просуммированных членов ряда и расчет функции стандартными средствами с++

Пример входных данных:

1.5 2.5 0.1 0.0001

Пример выходных данных:

1.5 0.4054 7 0.4055

1.6 0.47 8 0.47

1.7 0.5306 9 0.5306

1.8 0.5877 9 0.5878

1.9 0.6418 10 0.6419

2 0.6931 10 0.6931

2.1 0.7419 11 0.7419

2.2 0.7884 12 0.7885

2.3 0.8328 12 0.8329

2.4 0.8754 13 0.8755

2.5 0.9162 14 0.9163

 


Статистика Послать на проверку Автор/источник:
Учебные курсы / Языки программирования / Семинар 7. Функции.Задача 1 /
1291. 017 - Семинар 7. Функции. Задача 1. Вариант 17 1292. 1293. 019 - Семинар 7. Функции. Задача 1. Вариант 19 1294. 020 - Семинар 7. Функции. Задача 1. Вариант 20
 
время генерации 0.046 сек.
© Copyright ВоГТУ, АВТ, Носов Д.А.