АВТ
Language:

Remote Training on Programming

Problems On-line status Contests FAQ
For authors:
Register  ||  Login
 
Hello, Guest! Login or register.

251. КЛП->ЛКП

Time Limit: 1 seconds
Memory Limit:2000KB
Points:5
View Problem Statistics Submit Problem added Undefined

Дано бинарное дерево, все его вершины уникально пронумерованы целыми числами. 

КЛП-скобочное представление дерева строится следующим образом:
- пустое дерево представляется словом NIL
- дерево из одной вершины представляется одним числом - её номером
- непустое дерево представляется как (n,A,B), где n - номер корня дерева, 
  A и B - КЛП-скобочные представления левого и правого поддеревьев.

Аналогично строится и ЛКП-представление, только непустое дерево записывается как (A,n,B).

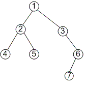
Например, для изображенного на рисунке дерева соответствующие представления имеют вид:
КЛП: (1,(2,4,5),(3,NIL,(6,7,NIL)))
ЛКП: ((4,2,5),1,(NIL,3,(7,6,NIL)))
Дано КЛП-представление дерева. Требуется получить его ЛКП-представление.

Входные данные: 
КЛП-представление дерева длиной не более 100000 символов

Выходные данные: 
ЛКП-представление этого дерева

Пример входных данных:
(1,(2,4,5),(3,NIL,(6,7,NIL)))

Пример выходных данных:
((4,2,5),1,(NIL,3,(7,6,NIL)))

View Problem Statistics Submit Author/source:
Educational Courses / Data Structures and Algorithms / Data Structures /
243. Trees 251. 252. ЛКП->КЛП 253. Луч 248. Постфиксная запись
We can all benefit by doing occasional "toy" programs, when artificial restrictions are set up, so that we are forced to push our abilities to the limit. The art of tackling miniproblems with all our energy will sharpen our talents for the real problems. Donald E. Knuth.
time generating 0.062 sec.
© Copyright VSTU, AVT, Nosov D.A.