АВТ
Язык:

Дистанционный практикум по программированию

Задачи On-line статус ЧаВо Турниры
Для авторов:
 
Здравствуйте, Гость! Войдите с паролем или зарегистрируйтесь.

1283. Семинар 7. Функции. Задача 1. Вариант 9

Ограничение времени: 1 секунды
Ограничение памяти:65536КБ
Баллы:1
Статистика Послать на проверку Задачу добавил Administrator

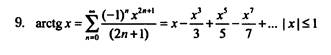
Формат входных данных.

Ввод: начало и конец интервала, шаг и точность

Вывод: таблица, каждая строка которой есть комбинация из четырех чисел – значение аргумента, значение функции, количество просуммированных членов ряда и расчет функции стандартными средствами с++

Пример входных данных:

0 1 0.1 0.0001

Пример выходных данных:

0.0 0.0000 1 0.0000

0.1 0.0997 3 0.0997

0.2 0.1974 3 0.1974

0.3 0.2913 4 0.2915

0.4 0.3799 4 0.3805

0.5 0.4621 5 0.4636

0.6 0.5370 6 0.5404

0.7 0.6042 7 0.6107

0.8 0.6637 8 0.6747

0.9 0.7156 10 0.7328

1.0 0.7604 5001 0.7854


Статистика Послать на проверку Автор/источник:
Учебные курсы / Языки программирования / Семинар 7. Функции.Задача 1 /
1282. 008 - Семинар 7. Функции. Задача 1. Вариант 8 1283. 1284. 010 - Семинар 7. Функции. Задача 1. Вариант 10 1285. 011 - Семинар 7. Функции. Задача 1. Вариант 11 1286. 012 - Семинар 7. Функции. Задача 1. Вариант 12
 
время генерации 0.593 сек.
© Copyright ВоГТУ, АВТ, Носов Д.А.